
Legg til matematiske ligninger i Keynote på iPad
Du kan legge til matematiske uttrykk og ligninger som flytende objekter i et lysbilder. Hvis du vil legge til en ligning, konstruerer du den i ligningsdialogruten i Keynote ved hjelp av LaTeX-kommandoer eller MathML-elementer, og deretter setter du den inn i presentasjon.
Du kan også legge til ligninger bundet til teksten i tekstruter og figurer.
Legg til en ligning med LaTeX eller MathML
Åpne Keynote-appen
på iPaden din.Åpne en presentasjon og gjør ett av følgende:
Plasser ligningen bundet til teksten: Plasser innsettingspunktet i en tekstrute eller figur, eller marker teksten du vil at ligningen skal erstatte.
Plasser ligningen slik at den kan flyttes fritt: Trykk utenfor lysbildet for å sikre at ingenting er markert.
Trykk på
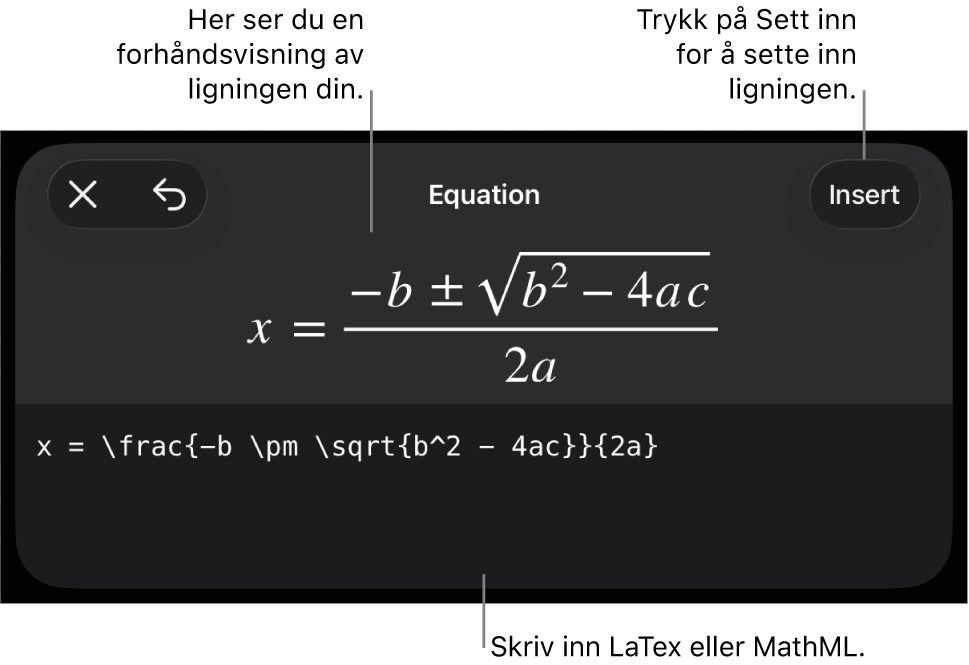
i verktøylinjen, og trykk deretter på Legg til ligning.Skriv inn en LaTeX- eller MathML-ligning ved hjelp av tastaturet og symbolene over tastaturet.

På iPad kan noen taster ha flere tegn øverst. Hvis du vil skrive et av disse tegnene, trykker du og holder på tasten og sveiper deretter diagonalt mot venstre eller høyre. Hvis du for eksempel vil skrive venstre klammeparentes, trykker du og holder på H-tasten og sveiper deretter ned og til høyre.
Trykk på Sett inn.
Dra i ligningen for å plassere den et annet sted i lysbildet.
Rediger, slett eller flytt en ligning med LaTeX eller MathML
Du kan endre ligningen etter at du har lagt den til.
Rediger en ligning: Dobbelttrykk på ligningen, utfør endringene dine, og trykk deretter på Oppdater.
Flytt en ligning: Trykk på ligningen, og flytt den deretter til et nytt sted på lysbildet eller i teksten.
Endre størrelse eller farge for en ligning: Trykk på ligningen, trykk på
, og velg deretter Stil- eller Ordne-fanen. Du kan også trykke på et håndtak rundt ligningen og flytte for å endre størrelsen.Kopier en ligning: Trykk på ligningen, trykk på Kopier, trykk der du vil lime inn ligningen, og trykk deretter på Lim inn.
Slett en ligning: Trykk på ligningen, og trykk deretter på Slett.
Flytt en flytende ligning som er bundet til teksten: Klipp ut og lim inn ligningen i en tekstrute eller figur på lysbildet. Se Plasser objekter inne i en tekstrute eller en figur.