LaTeX

LaTeX és un llenguatge de marques per a documents utilitzat per donar format a l’aspecte de text, nombres i símbols d’una presentació.

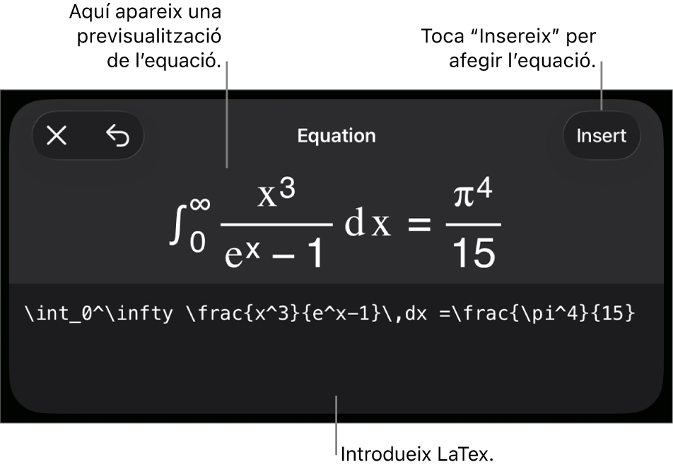
Exemple d’equació en format LaTeX:

El quadre de diàleg Equació amb una equació escrita amb ordres LaTeX i una previsualització de la fórmula al damunt.